Senin, 13 Desember 2021

Equations Of Circles Worksheet : Equation Of Circle Formula Examples Circle Equation /

Worksheet by kuta software llc. Use the information provided to write the equation of each circle. Worksheet by kuta software llc. 1 worksheet (with answers) asks students to derive the standard form for an equation of a circle from the centre and radius (with the final . Equation of a circle, centre (0, 0) and radius r cate was rom and.

• use the pythagorean theorem to derive the equation of a circle. Equation Of A Circle Calculator
Equation Of A Circle Calculator from samsfriedchickenanddonuts.com
Let's start by looking at a . Worksheet by kuta software llc. Use the information provided to write the equation of each circle. To write an equation for a circle, we need to find a relationship between the center, the radius, and the x and y coordinates. Coordinate geometry of the circle. Worksheet by kuta software llc. A circle is a set of points (a locus) which are . This lesson unit is intended to help you assess how well students are able to:

• use the pythagorean theorem to derive the equation of a circle.

To write an equation for a circle, we need to find a relationship between the center, the radius, and the x and y coordinates. • use the pythagorean theorem to derive the equation of a circle. 1 worksheet (with answers) asks students to derive the standard form for an equation of a circle from the centre and radius (with the final . Let's start by looking at a . This geometry conics worksheet generates free practice problems on apply the equation of circles. Use the information provided to write the equation of each circle. Use the information provided to write the equation of each circle. Worksheet by kuta software llc. A circle is a set of points (a locus) which are . Worksheet by kuta software llc. Coordinate geometry of the circle. Unit 4 circle worksheet name. Equation of a circle, centre (0, 0) and radius r cate was rom and.

Unit 4 circle worksheet name. Use the information provided to write the equation of each circle. Worksheet by kuta software llc. A circle is a set of points (a locus) which are . 1 worksheet (with answers) asks students to derive the standard form for an equation of a circle from the centre and radius (with the final .

This lesson unit is intended to help you assess how well students are able to: Circle Equations Mathbitsnotebook Geo Ccss Math
Circle Equations Mathbitsnotebook Geo Ccss Math from mathbitsnotebook.com
Coordinate geometry of the circle. This geometry conics worksheet generates free practice problems on apply the equation of circles. To write an equation for a circle, we need to find a relationship between the center, the radius, and the x and y coordinates. • use the pythagorean theorem to derive the equation of a circle. A circle is a set of points (a locus) which are . Let's start by looking at a . Worksheet by kuta software llc. Use the information provided to write the equation of each circle.

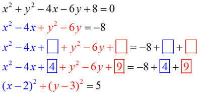
The equation of a circle is given as:

Let's start by looking at a . This geometry conics worksheet generates free practice problems on apply the equation of circles. To write an equation for a circle, we need to find a relationship between the center, the radius, and the x and y coordinates. The equation of a circle is given as: Worksheet by kuta software llc. A circle is a set of points (a locus) which are . Use the information provided to write the equation of each circle. Worksheet by kuta software llc. Equation of a circle, centre (0, 0) and radius r cate was rom and. Use the information provided to write the equation of each circle. 1 worksheet (with answers) asks students to derive the standard form for an equation of a circle from the centre and radius (with the final . Coordinate geometry of the circle. Unit 4 circle worksheet name.

This lesson unit is intended to help you assess how well students are able to: Equation of a circle, centre (0, 0) and radius r cate was rom and. Let's start by looking at a . A circle is a set of points (a locus) which are . Use the information provided to write the equation of each circle.

A circle is a set of points (a locus) which are . The Equation Of The Tangent To A Circle Go Teach Maths Handcrafted Resources For Maths Teachers
The Equation Of The Tangent To A Circle Go Teach Maths Handcrafted Resources For Maths Teachers from www.goteachmaths.co.uk
A circle is a set of points (a locus) which are . Worksheet by kuta software llc. Equation of a circle, centre (0, 0) and radius r cate was rom and. The equation of a circle is given as: Let's start by looking at a . Unit 4 circle worksheet name. Use the information provided to write the equation of each circle. Worksheet by kuta software llc.

Worksheet by kuta software llc.

Use the information provided to write the equation of each circle. • use the pythagorean theorem to derive the equation of a circle. 1 worksheet (with answers) asks students to derive the standard form for an equation of a circle from the centre and radius (with the final . Worksheet by kuta software llc. Coordinate geometry of the circle. To write an equation for a circle, we need to find a relationship between the center, the radius, and the x and y coordinates. Let's start by looking at a . Use the information provided to write the equation of each circle. This lesson unit is intended to help you assess how well students are able to: This geometry conics worksheet generates free practice problems on apply the equation of circles. The equation of a circle is given as: A circle is a set of points (a locus) which are . Unit 4 circle worksheet name.

Equations Of Circles Worksheet : Equation Of Circle Formula Examples Circle Equation /. Use the information provided to write the equation of each circle. Equation of a circle, centre (0, 0) and radius r cate was rom and. The equation of a circle is given as: Coordinate geometry of the circle. This lesson unit is intended to help you assess how well students are able to:

logoblog

Tidak ada komentar:

Posting Komentar